
Analisi Dati e Statistica, 2025–26
![]()
Università di Trento, Dipartimento di Ingegneria Industriale
Ultimo aggiornamento: 18/02/2026
\(\renewcommand{\hat}[1]{\widehat{#1}}\) \(\renewcommand{\tilde}[1]{\widetilde{#1}}\) \(\renewcommand{\theta}{\vartheta}\)
Gli esperimenti industriali spesso coinvolgono numerosi fattori corrispondenti a modelli con regressori multipli molto complessi
È quindi necessario minimizzare il numero di trattamenti e, quindi, il costo dell’esperimento, a parità di informazioni ottenute
Gli esperimenti devono poi essere analizzati con un approccio statistico
Un esperimento scientifico viene generalmente condotto allo scopo di supportare o confutare una teoria
In campo industriale spesso ciò non è possibile:
Ai fini pratici, la progettazione dell’esperimento è tanto più importante quanto più è elevata la complessità (cioè il numero di fattori coinvolti)
In generale, un esperimento serve a:
Se il modello di interesse è semplice (un regressore), l’esperimento consiste nell’analisi dell’uscita in corrispondenza di una sequenza di livelli per l’ingresso. Il numero di livelli è correlato con il grado atteso della risposta: per una regressione di grado \(l\) servono almeno \(l+1\) livelli
Ma se il modello è ha più di un regressore, cioè l’uscita dipende da \(n\) fattori, e ogni fattore viene indagato su \(l\) livelli, allora il numero di condizioni di test è \(l^n\)
Se ogni condizione di test viene poi ripetuta \(r\) volte (per mediare i risultati), il numero di singoli esprimenti è \(rl^n\)
Questo numero può diventare grande e economicamente insostenibile molto in fretta
Se in un esperimento con un’unica variabile indipendente il fattore assume una sequenza di valori, in un esperimento con più variabili indipendenti gli \(n\) fattori assumono una griglia \(n\)-dimensionale di valori, detta piano fattoriale

Quando i livelli di tutti i fattori sono solo due, si può usare l’ordine di Yates per indicare le combinazioni di livelli:
Modificando un fattore alla volta non si individuano le interazioni
Si ha interazione quando l’effetto di un fattore dipende dal livello di un altro fattore
In questo secondo esempio misuriamo la risposta dei trattamenti \((1), a, b, ab\)
Possiamo stimare sia gli effetti di \(A\) e \(B\) che l’interazione \(AB\):
\[ \begin{align} A &= \frac{a+ab}{2} - \frac{(1) + b}{2} = 6\\ B &= \frac{b+ab}{2} - \frac{(1) + a}{2} = -14 \\ AB &= \frac{a+b}{2} - \frac{(1)+ab}{2} = -24 \end{align} \]

Il concetto di interazione è ben illustrato dai grafici di interazione
I grafici di interazione non sono altro che proiezioni sull’asse di uno dei due fattori della superficie di risposta
Si usano generalmente unità codificate, riscalando l’intervallo di ciascun fattore sull’intervallo \([-1,1]\)
In questo modo si ha la stessa sensibilità indipendentemente dall’intervallo della scala originale

Importante
NOTA: né la superficie di risposta né i grafici di interazione dànno alcuna informazione sulla significatività statistica degli effetti
In generale, un esperimento in cui si abbiano 2 fattori ciascuno testato su \(k\) livelli è un piano fattoriale \(k^2\), perché il numero totale di trattamenti è \(N=rk^2\), dove \(r\) è il numero di ripetizioni per ciascun trattamento
Il modello statistico e il modello di regressione associati all’esperimento sono:
\[ y_{ijk} = \mu + \alpha_i + \beta_j + (\alpha\beta)_{ij} + \varepsilon_{ijk};\quad \hat y = \mu + \alpha x_1 + \beta x_2 + (\alpha\beta)x_1 x_2 \] con \(x_1\) e \(x_2\) i valori dei due fattori in unità codificate
Come tale, l’esperimento può essere studiato con un’ANOVA a due fattori (o ANOVA a due vie):
\[ \textrm{A)}~\left\{ \begin{align} H_0&: \alpha_1 = \alpha_2 = \dots =\alpha_a = 0 \\ H_1&: \alpha_i \ne 0\quad\textrm{per almeno un}~i \end{align} \right. \]
\[ \textrm{B)}~\left\{ \begin{align} H_0&: \beta_1 = \beta_2 = \dots =\beta_b = 0 \\ H_1&: \beta_j \ne 0\quad\textrm{per almeno un}~j \end{align} \right. \]
\[ \textrm{AB)}~\left\{ \begin{align} H_0&: (\alpha\beta)_{ij} = 0\quad \forall~(i,j) \\ H_1&: (\alpha\beta)_{ij} \ne 0\quad \textrm{per almeno una}~(i,j) \end{align} \right. \]
A queste coppie di ipotesi corrisponde una decomposizione della somma quadratica totale corretta \(SS_\mathrm{tot}=SS_A + SS_B + SS_{AB} + SS_E\)
La tabella ANOVA corrispondente è:
| Effetto | \(\nu\) (GdL) | \(SS\) | \(MS\) | \(F_0\) | p-value |
|---|---|---|---|---|---|
| A | \(a-1\) | \(SS_A\) | \(SS_A/\nu_A\) | \(MS_A/MS_E\) | \(\mathrm{CDF}^+(F_{0,A}, \nu_A, \nu_E)\) |
| B | \(b-1\) | \(SS_B\) | \(SS_B/\nu_B\) | \(MS_B/MS_E\) | \(\mathrm{CDF}^+(F_{0,B}, \nu_B, \nu_E)\) |
| AB | \((a-1)(b-1)\)) | \(SS_{AB}\) | \(SS_{AB}/\nu_{AB}\) | \(MS_{AB}/MS_E\) | \(\mathrm{CDF}^+(F_{0,AB}, \nu_{AB}, \nu_E)\) |
| Errore | \(ab(-1)\) | \(SS_E\) | \(SS_E/\nu_E\) | — | — |
| Totale | \(abn-1\) | \(SS_\mathrm{tot}\) | \(SS_\mathrm{tot}/\nu_\mathrm{tot}\) | — | — |
Vogliamo studiare l’effetto della velocità di taglio (fattore \(A\)) e dell’angolo di spoglia (fattore \(B\)) di un utensile di tornitura sulla vita utensile
I due fattori sono entrambi quantitativi; decidiamo di indagare tre livelli per ciascun fattore, ripetendo 2 volte ogni trattamento: piano fattoriale \(2\cdot 3^2\)
I punti 4 e 5 sono possibilmente iterati
| StdOrder | Angolo | A | Velocità | B | Ripetizione | Vita |
|---|---|---|---|---|---|---|
| 1 | 15 | -1 | 125 | -1 | 1 | NA |
| 2 | 20 | 0 | 125 | -1 | 1 | NA |
| 3 | 25 | 1 | 125 | -1 | 1 | NA |
| 4 | 15 | -1 | 150 | 0 | 1 | NA |
| 5 | 20 | 0 | 150 | 0 | 1 | NA |
| 6 | 25 | 1 | 150 | 0 | 1 | NA |
| 7 | 15 | -1 | 175 | 1 | 1 | NA |
| 8 | 20 | 0 | 175 | 1 | 1 | NA |
| 9 | 25 | 1 | 175 | 1 | 1 | NA |
Nella griglia si genera una nuova colonna di interi \(\left<1\dots N\right>,~N=rl^n\) ordinati casualmente
Si riordina la griglia secondo la nuova colonna, generalmente chiamata Run Order
| StdOrder | RunOrder | Angolo | A | Velocità | B | Ripetizione | Vita |
|---|---|---|---|---|---|---|---|
| 4 | 1 | 15 | -1 | 150 | 0 | 1 | NA |
| 5 | 2 | 20 | 0 | 150 | 0 | 1 | NA |
| 10 | 3 | 15 | -1 | 125 | -1 | 2 | NA |
| 2 | 4 | 20 | 0 | 125 | -1 | 1 | NA |
| 12 | 5 | 25 | 1 | 125 | -1 | 2 | NA |
| 15 | 6 | 25 | 1 | 150 | 0 | 2 | NA |
| 3 | 7 | 25 | 1 | 125 | -1 | 1 | NA |
| 18 | 8 | 25 | 1 | 175 | 1 | 2 | NA |
| 17 | 9 | 20 | 0 | 175 | 1 | 2 | NA |
| 14 | 10 | 20 | 0 | 150 | 0 | 2 | NA |
| 8 | 11 | 20 | 0 | 175 | 1 | 1 | NA |
| 13 | 12 | 15 | -1 | 150 | 0 | 2 | NA |
| 6 | 13 | 25 | 1 | 150 | 0 | 1 | NA |
| 1 | 14 | 15 | -1 | 125 | -1 | 1 | NA |
| 11 | 15 | 20 | 0 | 125 | -1 | 2 | NA |
| 7 | 16 | 15 | -1 | 175 | 1 | 1 | NA |
| 16 | 17 | 15 | -1 | 175 | 1 | 2 | NA |
| 9 | 18 | 25 | 1 | 175 | 1 | 1 | NA |
Si effettuano gli esperimenti secondo il run order
Eseguendo gli esperimenti secondo il run order eventuali effetti ignoti e incontrollati si distribuiscono casualmente su tutti i trattamenti:
Nota
Nota: una ripetizione è una replica dell’intero esperimento, non della sola operazione di misura
| StdOrder | RunOrder | Angolo | A | Velocità | B | Ripetizione | Vita |
|---|---|---|---|---|---|---|---|
| 4 | 1 | 15 | -1 | 150 | 0 | 1 | -3 |
| 5 | 2 | 20 | 0 | 150 | 0 | 1 | 1 |
| 10 | 3 | 15 | -1 | 125 | -1 | 2 | -1 |
| 2 | 4 | 20 | 0 | 125 | -1 | 1 | 0 |
| 12 | 5 | 25 | 1 | 125 | -1 | 2 | 0 |
| 15 | 6 | 25 | 1 | 150 | 0 | 2 | 6 |
| 3 | 7 | 25 | 1 | 125 | -1 | 1 | -1 |
| 18 | 8 | 25 | 1 | 175 | 1 | 2 | -1 |
| 17 | 9 | 20 | 0 | 175 | 1 | 2 | 6 |
| 14 | 10 | 20 | 0 | 150 | 0 | 2 | 3 |
| 8 | 11 | 20 | 0 | 175 | 1 | 1 | 4 |
| 13 | 12 | 15 | -1 | 150 | 0 | 2 | 0 |
| 6 | 13 | 25 | 1 | 150 | 0 | 1 | 5 |
| 1 | 14 | 15 | -1 | 125 | -1 | 1 | -2 |
| 11 | 15 | 20 | 0 | 125 | -1 | 2 | 2 |
| 7 | 16 | 15 | -1 | 175 | 1 | 1 | 2 |
| 16 | 17 | 15 | -1 | 175 | 1 | 2 | 3 |
| 9 | 18 | 25 | 1 | 175 | 1 | 1 | 0 |
Formuliamo il modello di regressione completo di secondo grado:
\[\begin{align} \hat y = & \mu + \alpha_1 x_1 + \beta_1 x_2 + (\alpha\beta)_1x_1x_2 + \\ & + \alpha_2x_1^2 + \beta_2x_2^2 + (\alpha\beta)_{2,1}x_1^2x_2 + \\ & + (\alpha\beta)_{1,2}x_1x_2^2 + (\alpha\beta)_{2,2}x_1^2x_2^2 \end{align}\]
dove, ricordiamo \((\alpha\beta)\) non è un prodotto, ma rappresenta il coefficiente di un prodotto di fattori \(A\) e \(B\)
Importante
È necessario valutare normalità e assenza di pattern nei residui
Scegliendo il 5% come soglia sul p-value, osserviamo che risultano statisticamente non significativi gli effetti:
| effetto | \(\nu\) | \(SS\) | \(MS\) | \(F_0\) | \(p\mathrm{-value}\) |
|---|---|---|---|---|---|
| \(A\) | 1 | 8.333333 | 8.333333 | 5.769231 | 0.0397723 |
| \(B\) | 1 | 21.333333 | 21.333333 | 14.769231 | 0.0039479 |
| \(A^2\) | 1 | 16.000000 | 16.000000 | 11.076923 | 0.0088243 |
| \(B^2\) | 1 | 4.000000 | 4.000000 | 2.769231 | 0.1304507 |
| \(AB\) | 1 | 8.000000 | 8.000000 | 5.538462 | 0.0430650 |
| \(A^2B\) | 1 | 2.666667 | 2.666667 | 1.846154 | 0.2073056 |
| \(AB^2\) | 1 | 42.666667 | 42.666667 | 29.538462 | 0.0004137 |
| \(A^2B^2\) | 1 | 8.000000 | 8.000000 | 5.538462 | 0.0430650 |
| \(\varepsilon\) | 9 | 13.000000 | 1.444444 | NA | NA |
Quindi l’equazione di regressione diventa: \[\begin{align} \hat y = & \mu + \alpha_1 x_1 + \beta_1 x_2 + (\alpha\beta)_1x_1x_2 + \\ & + \alpha_2x_1^2 + (\alpha\beta)_{1,2}x_1x_2^2 + \\ & + (\alpha\beta)_{2,2}x_1^2x_2^2 \end{align}\]
La superficie di risposta consente di identificare punti e direzioni notevoli:

Dopo aver eventualmente escluso alcuni effetti (ad esempio \(B^2\) e \(A^2B\)) è necessario:
In particolare, l’analisi dei residui è detta verifica di adeguatezza del modello (Model Adequacy Check, MAC) e consiste dipicamente in:
I piani fattoriali in cui tutti i fattori hanno due livelli (basso e alto, -1 e +1 in unità codificate) sono di particolare interesse

| trattamento | ripetizione | A | B | C | ordine |
|---|---|---|---|---|---|
| (1) | 1 | - | - | - | 1 |
| a | 1 | + | - | - | 7 |
| b | 1 | - | + | - | 5 |
| ab | 1 | + | + | - | 6 |
| c | 1 | - | - | + | 8 |
| ac | 1 | + | - | + | 4 |
| bc | 1 | - | + | + | 2 |
| abc | 1 | + | + | + | 3 |
| trattamento | I | A | B | AB | C | AC | BC | ABC |
|---|---|---|---|---|---|---|---|---|
| (1) | + | - | - | + | - | + | + | - |
| a | + | + | - | - | - | - | + | + |
| b | + | - | + | - | - | + | - | + |
| ab | + | + | + | + | - | - | - | - |
| c | + | - | - | + | + | - | - | + |
| ac | + | + | - | - | + | + | - | - |
| bc | + | - | + | - | + | - | + | - |
| abc | + | + | + | + | + | + | + | + |
La matrice degli effetti contiene le informazioni per calcolare gli effetti e le somme quadratiche \(SS\) che, a loro volta, servono per completare la tabella ANOVA
Per gli effetti: \[ \begin{align} A &= \frac{-(1)+a-b+ab}{2r} \\ B &= \frac{-(1)-a+b+ab}{2r} \\ AB &= \frac{+(1)-a-b+ab}{2r} \end{align} \]
Per le somme quadratiche: \[ \begin{align} SS_A &=& \frac{(-(1)+a-b+ab)^2}{4r} \\ SS_B &=& \frac{(-(1)-a+b+ab)^2}{4r} \\ SS_{AB} &=& \frac{(+(1)-a-b+ab)^2}{4r} \end{align} \]
In generale: \(\mathrm{Ef}(X) = \frac{2}{2^nr}\mathrm{Contrast}(X)\) e \(\mathit{SS}(X) = \frac{1}{2^nr}\mathrm{Contrast}(X)^2\) dove il contrasto del fattore \(\mathrm{Contrast}(X)\) è calcolato usando i segni della relativa colonna \(X\) per i trattamenti nell’ordine di Yates (es. \(\mathrm{Contrast}(AB)=+(1)-a-b+ab\))
Il modello statistico di un piano fattoriale \(2^n\) è ovviamente un modello lineare di primo grado in tutti i fattori. Per \(n=2\), ad esempio:
\[ y_{ijk} = \mu + \alpha_{i} + \beta_{j} + (\alpha\beta)_{ij}+\varepsilon_{ijk} \] Per \(n=3\): \[ y_{ijkl} = \mu + \alpha_{i} + \beta_{j} + (\alpha\beta)_{ij}+ \gamma_k + (\alpha\gamma)_{ik} + (\beta\gamma)_{jk} + (\alpha\beta\gamma)_{ijk} + \varepsilon_{ijkl} \] e così via.
In R vedremo che questi modelli possono essere rispettivamente abbreviati come Y~A*B e Y~A*B*C e utilizzati per calcolare la tabella ANOVA
Al crescere del numero di fattori, il numero di singoli test può diventare insostenibile
Il modo più semplice per ridurre il numero di test è evitare le ripetizioni per i vari trattamenti
Se un trattamento non è ripetuto, però, non è possibile calcolare la \(SS_E\) e quindi non si può completare la tabella ANOVA con le \(F_0\) e i p-value
La soluzione è stata proposta da C. Daniel e si basa sull’ipotesi che almeno uno dei fattori o delle interazioni non sia significativo
Quest’ipotesi è di solito ragionevole per i processi più complessi con \(n\) elevato, proprio i casi in cui è particolarmente importante ridurre il numero di test
L’idea è che gli effetti non-significativi siano statistiche calcolate su diversi sotto-campioni dello stesso campione omogeneo, e quindi siano normalmente distribuiti. Solo gli effetti significativi si dipartono dalla distribuzione normale degli altri
Quali effetti siano probabilmente significativi è quindi possibile determinarlo con un grafico quantile-quantile degli stessi
Il grafico è un primo screening che deve essere conservativo: serve solo per rimuovere effetti sicuramente non significativi (cioè molto allineati alla diagonale) e consentire l’esecuzione dell’ANOVA
La tabella ANOVA va comunque calcolata su un modello statistico lineare ridotto, in modo da confermare il risultato del metodo grafico o da rimuovere ulteriori effetti che risultassero effettivamente non-significativi

In questo caso risultano non-normali solo gli effetti \(A, C, D\) e le interazioni \(AC\) e \(AD\)
Il modello statistico lineare può quindi essere rivisto come
\[ \begin{multline} y_{ijkl} = \mu + \alpha_{i} + \\ + \gamma_{j} + (\alpha\gamma)_{ij}+ \delta_k + (\alpha\delta)_{ik} + \varepsilon_{ijkl} \end{multline} \] Cioè possiamo già escludere che \(B\) sia di fatto un fattore. In questo modo, anziché un piano fattoriale \(2^4\) non replicato abbiamo a che fare con un \(2^3\) replicato due volte (cioè \(2\cdot 2^3\)), per il quale possiamo eseguire una normale analisi ANOVA

In generale, se i residui di un modello lineare risultano non-normali, allora i p-value non possono essere calcolati a partire dalle \(F_0\)
Spesso, però, è possibile trasformare la risposta in modo da rendere normali i residui
La trasformazione può essere una qualunque funzione analitica applicata alla risposta
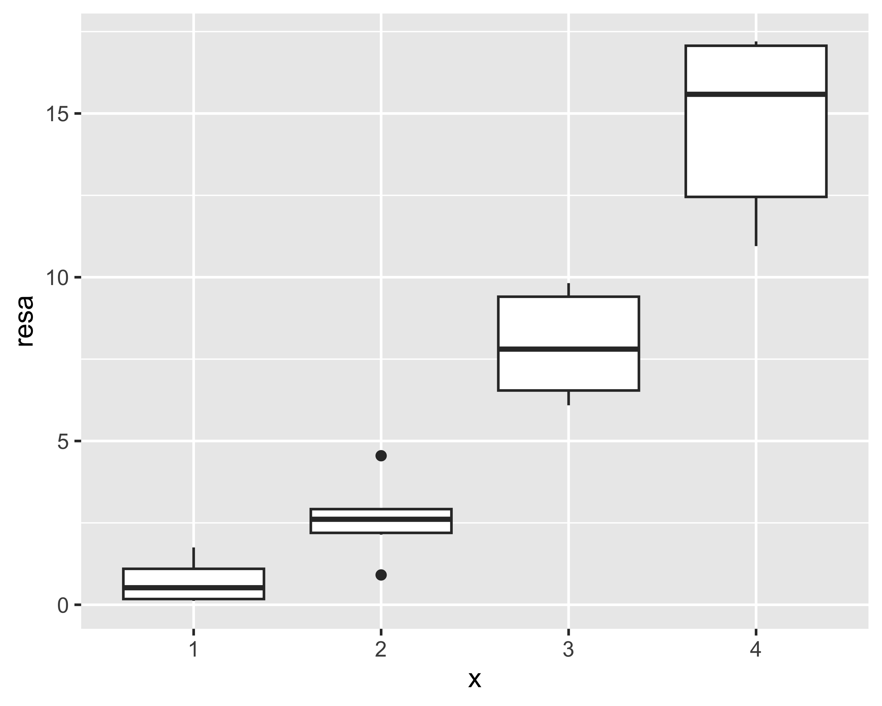
Consideriamo i dati rappresentati in questo grafico
Non ha importanza l’origine dei dati: limitiamoci a costruire un modello lineare dei dati
\[ y_{ij} = \mu + x_i + \varepsilon_{ij}\]
Si noti come i residui non sembrano normali e che ci sono degli evidenti pattern
Se osserviamo dal boxplot che la resa tende ad aumentare più che linearmente con \(x\), possiamo pensare di riformulare il modello trasformandolo mediante un’elevazione al quadrato:
\[ y_{ij} = (\mu + x_i + \varepsilon_{ij})^2\] Il modello non sembra più lineare, ma considerando che può essere riscritto come
\[ \sqrt{y_{ij}} = \mu + x_i + \varepsilon_{ij}\]
è evidente che si tratta ancora di un modello lineare nei coefficienti.
Box e Cox hanno proposto un metodo per identificare la miglior trasformazione nella famiglia delle trasformazioni di potenza \(y^* = y^\lambda\), con \(y^*=\ln(y)\) quando \(\lambda=0\)
Si calcola un grafico della verosimiglianza logaritmica \(\mathcal{L}\) (log-likelyhood) della seguente \(y^{(\lambda)}\):
\[ y_i^{(\lambda)} = \begin{cases} \frac{y_i^\lambda-1}{\lambda\dot y^{\lambda-1}} & \lambda\neq 0 \\ \dot y \ln y_i & \lambda = 0 \end{cases}, ~~~ \dot y = \exp\left[(1/n)\sum \ln y_i\right],~i=1, 2,\dots,n \] La verosimiglianza \(\ln\mathcal{L}(\lambda|y)\) non è altro che la probabilità di estrarre un campione \(y\) dato un certo parametro \(\lambda\). Il suo massimo coincide col valore di \(\lambda\) che rende il campione \(y\) più normale.
Il diagramma Box-Cox individua anche un intervallo corrispondente ad una variazione inferiore al 95%
Qualunque valore di \(\lambda\) interno a questo intervallo è statisticamente equivalente
Si sceglie quindi il valore includo nell’intervallo e che rappresenta una trasformazione “comoda”
Ad es., se risultasse un \(\lambda\) ottimale pari a 0.58, sceglierei comunque \(\lambda=0.5\), che corrisponde alla trasformazione \(y^*=\sqrt{y}\)

Nota
Ogni volta che un modello lineare è sospetto (in una regressione o nell’analisi di un piano fattoriale) è opportuno tentare con una trasformazione Box-Cox. Nei PF, a volte la trasformazione Box-Cox può semplificare il modello (cioè ridurre il numero di fattori o interazioni significativi)
Un piano fattoriale \(2^n\) assume che la risposta sia lineare: quest’ipotesi va verificata estendendo il piano a più di 2 livelli
Un piano fattoriale, anche \(2^n\) non replicato, può risultare comunque troppo oneroso: in questi casi è possibile frazionarlo, cioè dividere per potenze di 2 il numero di trattamenti, pena la perdita di informazioni sulle interazioni più complesse
Verrebbe automatico estendere un PF da \(2^2\) a \(2^3\) per valutare gli effetti quadratici
In questo modo, però, la sensibilità nelle direzioni assiali sarebbe inferiore alla sensibilità nelle direzioni diagonali, essendo l’intervallo di valutazione più piccolo nel primo caso
Si preferisce quindi eseguire PF centrati con simmetria rotazionale attorno all’origine
Per due fattori, i punti assiali sono estesi a distanza \(\sqrt{2}\) dall’origine; nel generico caso \(n\)-dimensionale la distanza è \((2^n)^{1/4}\)
Supponiamo di considerare soltanto i vertici opposti del PF in figura: \((1), ab, ac, bc\)
Stiamo considerando metà del PF originale, che comunque include tutti i livelli dei tre fattori
Sicuramente il frazionamento riduce la completezza del modello, ma consente di risparmiare molti test

Osservando la matrice degli effetti, osserviamo che i trattamenti \((1), ab, ac, bc\) corrispondono alle righe per cui vale la relazione \(I=-ABC\). L’altra metà complementare corrisponde invece a \(I=ABC\)
Queste relazioni sono chiamate relazioni definenti perché definiscono il PFF. È indifferente scegliere la metà positiva o quella negativa
| trattamento | I | A | B | AB | C | AC | BC | ABC |
|---|---|---|---|---|---|---|---|---|
| (1) | + | - | - | + | - | + | + | - |
| a | + | + | - | - | - | - | + | + |
| b | + | - | + | - | - | + | - | + |
| ab | + | + | + | + | - | - | - | - |
| c | + | - | - | + | + | - | - | + |
| ac | + | + | - | - | + | + | - | - |
| bc | + | - | + | - | + | - | + | - |
| abc | + | + | + | + | + | + | + | + |
In un PF frazionato \(2^{3-1}\) con relazione definente \(I=ABC\), consideriamo questi effetti: \[ \begin{align} A &= (-(1)+a-b+ab-c+ac-bc+abc)/(2r) \\ BC &= (\underline{+(1)}+a-b\underline{-ab}-c\underline{-ac} \underline{+bc}+abc)/(2r) \end{align} \] Siccome i trattamenti sottolineati non sono testati, l’effetto \(A\) risulta indistinguibile dall’effetto \(BC\)
Si dice che \(A\) è in alias con \(BC\)
Data una certa relazione definente, le possibili strutture di alias possono essere ricavate dalla relazione stessa mediante un’algebra dedicata: \(I\cdot X=X\), \(X\cdot X = X\), \(X\cdot Y=XY\).
Quindi, risulta \(A\cdot I=A\cdot ABC\) cioè \(A=BC\), e altrettanto \(B=AC\) e \(C=AB\).
Quindi, frazionando un PF si perdono informazioni: si perde la capacità di discriminare tra gli effetti in alias. È evidente che più lunga è la relazione definente, più elevato sarà il grado di interazioni in alias con gli effetti diretti (es. \(A=BCDEF\))
In virtù del principio di sparsità degli effetti, tuttavia, questa perdita di informazioni non è drammatica. Il principio dice che in un processo la significatività di interazioni di alto livello è via via meno probabile all’aumentare del numro di fattori che le compongono
Di conseguenza, un alias \(A=BCDEF\) può essere trascurato assumendo la significatività di \(A\) piuttosto che quella di \(BCDEF\) in virtù del PSdE
È possibile frazionare un piano più di una volta, riducendo il numero di trattamenti a \(2^{n-p}\)
Per ogni frazionamento è necessario scegliere una nuova relazione definente
Ad esempio, per \(2^{7-2}\) si possono scegliere le RD \(I=ABCDE\) e \(I=CDEFG\)
Per queste due RD ne esiste una terza, dipendente: \(I=ABFG\). Due qualsiasi di queste tre RD sono equivalenti
È molto comune assistere a DoE applicati solo parzialmente…
paolo.bosetti@unitn.it — https://paolobosetti.quarto.pub/slides/ADAS/